3 结果与讨论
3.1 EMZ固化剂的改性研究
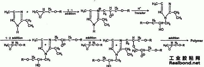
由于N—H键的存在使得EMZ分子具有较高的活性和亲水性,很难采用乳液-溶剂蒸发技术对其进行成功包覆并制备出微胶囊产品,而且以EMZ为固化剂 制备的环氧树脂固化物的耐水性又较差,因此在进行微胶囊化之前首先必须对其进行化学改性。为了降低EMZ的活性和亲水性并提高对应环氧固化物的耐水性能,本文选择一种单官能度环氧化物BGE对其进行 改性[4],该改性机理如式(1)所示[5]。

不难看出,当EMZ与BGE的投料比不同时,可制得不同的改性产物。但由于对EMZ改性的最终目的是制备相应的微胶囊固化剂,因此在确保EMZ通过改性后能达到一定疏水性的同时,还应尽可能保持其作为环氧树脂固化剂应具有的反应活性。为此,本文结合该改性反应机理并在大量试验的基础之上,将BGE对EMZ的改性投料比(摩尔比)确定为1.05∶1,前者稍过量是为了保证EMZ中的N—H键能够反应完全,从而在很大程度上降低EMZ的反应活性和亲水性。
图2为EMZ、BGE和M-EMZ的红外光谱图。从图中可以看出,改性后的M-EMZ分子的红外谱图(图 2(c))与EMZ和BGE的红外谱图(分别为图2(a)和 (b))存在明显差别。图2(c)中归属于ν(O-H)吸收 峰(3200~3650cm-1)的出现、1130cm-1处归属于ν (N—C)吸收峰的增强、733cm-1附近处归属于N—H面外弯曲振动吸收带的明显减弱(与图2(a)相比)以及归属于环氧基的吸收峰(830、1250和914cm-1)明 显减弱或消失(与图2(b)相比)均证明上述改性反应是可行的,即采用BGE可以成功实现对EMZ分子的化学改性,从而降低了其反应活性和亲水性。
3.2 M-EMZ固化剂微胶囊的形貌
乳液-溶剂蒸发技术制备液芯微胶囊固化剂的整个工艺过程较为简单,因此该法在微胶囊的制备领域受到越来越多的关注。然而,该法中影响微胶囊形貌 和粒径的因素较多,主要有搅拌速度、表面活性剂的种类及其浓度、芯材与壁材的投料比、溶剂的蒸馏速度以及回流时间等。本文在大量试验的基础上分别对以上 主要影响因素分别进行了研究,从而确定了制备M-EMZ固化剂微胶囊的最优工艺参数,并采用该优化工艺制备出了粒径分布较窄,粒径大小和壁厚等条件满足要求的微胶囊产品。

图3(a)和(b)分别为采用上述优化工艺制备的 M-EMZ微胶囊固化剂的光学显微照片和扫描电镜照片。从图3中可以看出,所制备的固化剂微胶囊均呈 较规则的球形,粒径较均匀,表面较光滑。图3(a)中 部分破损的微胶囊证实了所制备的固化剂微胶囊中 壳-核结构的存在。此外,从图3(b)中还发现,在微胶囊的表面存在一些小的缺陷,这是采用乳液-溶剂蒸发 技术制备的微胶囊的典型形貌,这些缺陷的产生主要 是在溶剂蒸发过程中形成的。M-EMZ固化剂微胶囊 的成功制备也从另一个侧面证实了上述改性研究是可 行的。为了进一步证明所合成的M-EMZ固化剂微胶囊中壳-核结构的存在,本文采用树脂浇铸嵌样———打磨———清洗———喷金法制备了电镜分析样品并观察了其截面形貌(如图4所示),可以看出所制备的微胶囊具有明显的壳-核结构,且内壁较光滑,壁厚均匀,约为 1.5μm。图5为采用上述优化工艺制备的M-EMZ固化剂微胶囊的粒径分布曲线。从图中可以看出,所制备的固化剂微胶囊的粒径分布较窄(约为6~38μm), 平均粒径约为25μm,这与上述电镜及光学显微照片的 结果基本吻合。
