
由图4~图6可知,获得的动力学模型可以较 好地描述C301/P-γ-Al2O3双功能催化剂上的富碳合成气制二甲醚的动力学行为。
3 结论
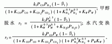
(1)采用C301/P-γ-Al2O3为双功能催化剂,且催化剂处于活性稳定期内,在CO/H2=1. 325,温度 210 ~ 300℃,压力2 ~ 4. 3 MPa,空速600 ~ 1 800 mL/(h·g催化剂)条件下,获得了富碳合成气 制取二甲醚的本征动力学方程,甲醇合成r1=

(2)通过富碳合成气在C301/P-γ-Al2O3催化剂 上制取二甲醚的动力学研究,可获得甲醇合成、甲醇 脱水和水汽变换三个独立反应的表观活化能分别为 88. 43, 42. 56和11. 92 kJ/mol。
参考文献:
[1] 侯昭胤,费金华,郑小明.二甲醚的应用和生产工艺 [J].石油化工, 1999, 28(1): 59-61.
[2] 葛庆杰,黄友梅,李树本. CO2加氢直接制取二甲醚的 研究[J].石油化工, 1997, 26(8): 560-564.
[3] 黄大庆,康国才,张世才,等.二甲醚的应用及其下游 产品的开发[J].天然气化工, 1996, 21(4): 43-47.
[4] 贾广信,谭猗生,韩怡卓.浆态床二甲醚合成的本征动 力学研究[J].石油化工, 2004, 33(12): 1124-1129.
